Shape modifiers

The following classes modify an existing shape. They are Shapes themselves, executing a certain algorithm on an original_shape parameter. They can be used to transform (i.e., round, grow, shrink) geometrical elements.

ShapeRound

Returns a shape with circular rounded corners based on a given shape.

ShapeStub

Stubs the corners of a given shape.

ShapeManhattanStub

Stubs the 90-degree corners of a given shape

ShapeSample

Creates a shape sampling points on another shape along specified distances between the sampling point.

ShapeSamplePeriodic

Creates a shape sampling points on another shape along specified periodic distances from the start point of the shape.

ShapeShorten

Shortens a shape on both ends by given trim lengths.

ShapeSerif

Puts a bump on the corners of a given shape.

ShapeGrow

Generates a shape which uniformly grows.

ShapeOffset

Generates a shape with a given offset from its original shape.

ShapeVariableOffset

Generates a shape with a variable offset from its original shape.

ShapeExtendEnds

Extend a shape at both ends by a given extension length.

ShapeFit

Fits a shape in a given box.

ShapeRoundAdiabaticSpline

Returns a shape with adiabatic spline corners

ShapeRoundEuler

Returns a shape with euler rounded corners

See also Rounding algorithms

SplineRoundingAlgorithm

Spline based rounding algorithm that is an extension of i3.ShapeRound, used to create adiabatic spline bends.

EulerRoundingAlgorithm

Euler rounding algorithm that is an extension of i3.ShapeRound, used to create (partial) Euler bends.

ShapeRound

class ipkiss3.all.ShapeRound

Returns a shape with circular rounded corners based on a given shape.

The corners are rounded using a circular arc with a certain radius.

Used as the default rounding algorithm for traces (waveguides).

Parameters:
radius: float and int, float, integer, floating and number >= 0, required
original_shape: Shape, required
angle_step: float, optional
end_face_angle: ( float ), optional, *None allowed*

Use this to overrule the ‘dangling’ angle at the end of an open shape

start_face_angle: ( float ), optional, *None allowed*

Use this to overrule the ‘dangling’ angle at the start of an open shape

points: optional

points of this shape

Other Parameters:
radii: locked
size_info: SizeInfo, locked

get the size information on this Shape

closed: locked

Examples

import ipkiss3.all as i3
shape = i3.Shape([(10.0, 10.0), (30.0, 10.0), (60.0, 35.0), (10.0, 40.0)])
rounded_shape = i3.ShapeRound(original_shape=shape,
                              radius=5.0)
import matplotlib.pyplot as plt

plt.figure()
plt.plot(shape.x_coords(), shape.y_coords(), 'bo-.', label='original_shape')
plt.plot(rounded_shape.x_coords(), rounded_shape.y_coords(), 'r-', label='rounded shape')
plt.xlim([0, 70.0])
plt.ylim([0, 50.0])
plt.legend()
plt.show()
../../../../_images/shape_modifiers-1.png

ShapeSample

class ipkiss3.all.ShapeSample

Creates a shape sampling points on another shape along specified distances between the sampling point.

Parameters:
sampling_distances: list<number > 0>, required
original_shape: Shape, required
end_face_angle: ( float ), optional, *None allowed*

Use this to overrule the ‘dangling’ angle at the end of an open shape

start_face_angle: ( float ), optional, *None allowed*

Use this to overrule the ‘dangling’ angle at the start of an open shape

points: optional

points of this shape

Other Parameters:
size_info: SizeInfo, locked

get the size information on this Shape

closed: locked

Examples

import ipkiss3.all as i3
import numpy as np

shape = i3.Shape([(5.0, 5.0), (10.0, 10.0), (15.0, 5.0), (20.0, 10.0), (25.0, 5.0)])
sampled_shape = i3.ShapeSample(original_shape=shape,
                               sampling_distances=[1.0, 3.0, 3.5, 4.0, 7.0, 7.8, 10.0, 12.0, 15.0, 17.0, 25.0])
import matplotlib.pyplot as plt

plt.figure()
plt.plot(shape.x_coords(), shape.y_coords(), 'bo-', label='original_shape', markersize=2, linewidth=2)
plt.plot(sampled_shape.x_coords(), sampled_shape.y_coords(), 'ro', label='sampled shape', markersize=7)
plt.legend()
plt.show()
../../../../_images/shape_modifiers-2.png

ShapeSamplePeriodic

class ipkiss3.all.ShapeSamplePeriodic

Creates a shape sampling points on another shape along specified periodic distances from the start point of the shape.

Parameters:
sampling_period: float and number > 0, required
original_shape: Shape, required
exclude_ends: Coord2 and number >= 0, optional

Lengths not taken into account on both ends

end_face_angle: ( float ), optional, *None allowed*

Use this to overrule the ‘dangling’ angle at the end of an open shape

start_face_angle: ( float ), optional, *None allowed*

Use this to overrule the ‘dangling’ angle at the start of an open shape

points: optional

points of this shape

Other Parameters:
sampling_distances: locked
size_info: SizeInfo, locked

get the size information on this Shape

closed: locked

Examples

import ipkiss3.all as i3
import numpy as np

shape = i3.Shape([(5.0, 5.0), (10.0, 10.0), (15.0, 5.0), (20.0, 10.0), (25.0, 5.0)])
sampled_shape = i3.ShapeSamplePeriodic(original_shape=shape,
                                       sampling_period=0.5,
                                       exclude_ends=(1.0, 2.0))
import matplotlib.pyplot as plt

plt.figure()
plt.plot(shape.x_coords(), shape.y_coords(), 'bo-', label='original_shape', markersize=2, linewidth=2)
plt.plot(sampled_shape.x_coords(), sampled_shape.y_coords(), 'ro', label='sampled shape', markersize=7)
plt.legend()
plt.show()
../../../../_images/shape_modifiers-3.png

ShapeStub

class ipkiss3.all.ShapeStub

Stubs the corners of a given shape.

On closed shapes, all corners are stubbed. Open shapes are left open: the edge corners are not stubbed.

Parameters:
stub_width: float and int, float, integer, floating and number >= 0, required
original_shape: Shape, required
only_sharp_angles: optional
end_face_angle: ( float ), optional, *None allowed*

Use this to overrule the ‘dangling’ angle at the end of an open shape

start_face_angle: ( float ), optional, *None allowed*

Use this to overrule the ‘dangling’ angle at the start of an open shape

points: optional

points of this shape

Other Parameters:
size_info: SizeInfo, locked

get the size information on this Shape

closed: locked

Examples

import ipkiss3.all as i3
shape = i3.Shape([(10.0, 10.0), (30.0, 10.0), (60.0, 35.0), (10.0, 40.0)])
stubbed_shape = i3.ShapeStub(original_shape=shape,
                             only_sharp_angles=False,
                             stub_width=5.0)
import matplotlib.pyplot as plt

plt.figure()
plt.plot(shape.x_coords(), shape.y_coords(), 'bo-.', label='original_shape')
plt.plot(stubbed_shape.x_coords(), stubbed_shape.y_coords(), 'r-', label='stubbed shape')
plt.xlim([0, 70.0])
plt.ylim([0, 50.0])
plt.legend()
plt.show()
../../../../_images/shape_modifiers-4.png

ShapeManhattanStub

class ipkiss3.all.ShapeManhattanStub

Stubs the 90-degree corners of a given shape

On closed shapes, all 90-degree corners are stubbed Open shapes are left open: the edge corners are never stubbed.

Parameters:
original_shape: Shape, required
stub_width: float and number > 0, optional

The length of the side of the created stubs

end_face_angle: ( float ), optional, *None allowed*

Use this to overrule the ‘dangling’ angle at the end of an open shape

start_face_angle: ( float ), optional, *None allowed*

Use this to overrule the ‘dangling’ angle at the start of an open shape

points: optional

points of this shape

Other Parameters:
size_info: SizeInfo, locked

get the size information on this Shape

closed: locked

Examples

import matplotlib.pyplot as plt

import ipkiss3.all as i3

shape = i3.Shape([(0, 0), (10, 0), (10, 10), (20, 10), (20, 20), (5, 20), (0, 0)])
stubbed_shape = i3.ShapeManhattanStub(original_shape=shape, stub_width=4.0)

fig, ax = plt.subplots()
ax.plot(shape.x_coords(), shape.y_coords(), "bo-.", label="original_shape")
ax.plot(stubbed_shape.x_coords(), stubbed_shape.y_coords(), "r-", label="stubbed shape")
ax.set_xlim([-5, 25])
ax.set_ylim([-5, 25])
ax.legend()
ax.set_aspect("equal")
../../../../_images/shape_modifiers-5.png

ShapeShorten

class ipkiss3.all.ShapeShorten

Shortens a shape on both ends by given trim lengths.

Parameters:
original_shape: Shape, required
trim_lengths: Coord2 and number >= 0, optional
end_face_angle: ( float ), optional, *None allowed*

Use this to overrule the ‘dangling’ angle at the end of an open shape

start_face_angle: ( float ), optional, *None allowed*

Use this to overrule the ‘dangling’ angle at the start of an open shape

points: optional

points of this shape

Other Parameters:
size_info: SizeInfo, locked

get the size information on this Shape

closed: locked

Examples

import ipkiss3.all as i3
import numpy as np

shape = i3.Shape([(5.0, 5.0), (10.0, 10.0), (15.0, 5.0), (20.0, 10.0), (25.0, 5.0)])
short_shape = i3.ShapeShorten(original_shape=shape,
                              trim_lengths=(1.0, 2.0))
import matplotlib.pyplot as plt

plt.figure()
plt.plot(shape.x_coords(), shape.y_coords(), 'bo-',
         label='original_shape', markersize=2, linewidth=2)
plt.plot(short_shape.x_coords(), short_shape.y_coords(), 'ro--',
         label='shortened shape', markersize=2, linewidth=6)
plt.legend()
plt.show()
../../../../_images/shape_modifiers-6.png

ShapeSerif

class ipkiss3.all.ShapeSerif

Puts a bump on the corners of a given shape.

Parameters:
tip_width: float and int, float, integer, floating and number >= 0, required
stub_height: float and number > 0, required
stub_width: float and number > 0, required
original_shape: Shape, required
only_sharp_angles: optional
end_face_angle: ( float ), optional, *None allowed*

Use this to overrule the ‘dangling’ angle at the end of an open shape

start_face_angle: ( float ), optional, *None allowed*

Use this to overrule the ‘dangling’ angle at the start of an open shape

points: optional

points of this shape

Other Parameters:
size_info: SizeInfo, locked

get the size information on this Shape

closed: locked

Examples

import ipkiss3.all as i3
shape = i3.Shape([(5.0, 5.0), (10.0, 10.0), (15.0, 5.0), (20.0, 10.0), (25.0, 5.0)])
serif_shape = i3.ShapeSerif(original_shape=shape,
                            stub_width=3.0,
                            stub_height=2.0,
                            tip_width=2.0)
import matplotlib.pyplot as plt

plt.figure()
plt.plot(shape.x_coords(), shape.y_coords(), 'bo-.', label='original_shape')
plt.plot(serif_shape.x_coords(), serif_shape.y_coords(), 'r-', label='serif shape')
plt.xlim([0, 30.0])
plt.ylim([0, 15.0])
plt.legend()
plt.show()
../../../../_images/shape_modifiers-7.png

ShapeGrow

class ipkiss3.all.ShapeGrow

Generates a shape which uniformly grows.

Parameters:
amount: float, required

amount of growth in user units

original_shape: Shape, required
offset: optional

offset from the original shape, calculated from amoutn

end_face_angle: ( float ), optional, *None allowed*

Use this to overrule the ‘dangling’ angle at the end of an open shape

start_face_angle: ( float ), optional, *None allowed*

Use this to overrule the ‘dangling’ angle at the start of an open shape

points: optional

points of this shape

Other Parameters:
size_info: SizeInfo, locked

get the size information on this Shape

closed: locked

Examples

import ipkiss3.all as i3
import numpy as np

shape = i3.Shape([(5.0, 5.0), (10.0, 10.0), (15.0, 5.0), (20.0, 10.0), (25.0, 5.0)])
grown_shape = i3.ShapeGrow(original_shape=shape,
                           amount=2.0)
import matplotlib.pyplot as plt

plt.figure()
plt.plot(shape.x_coords(), shape.y_coords(), 'bo-', label='original_shape', markersize=2, linewidth=2)
plt.plot(grown_shape.x_coords(), grown_shape.y_coords(), 'ro--', label='grown shape', markersize=2, linewidth=6)
plt.legend()
plt.show()
../../../../_images/shape_modifiers-8.png

ShapeOffset

class ipkiss3.all.ShapeOffset

Generates a shape with a given offset from its original shape. Similar to i3.ShapeGrow, but will remove loops as a result of the offset, if there are any.

Parameters:
offset: float, required
original_shape: Shape, required
remove_loopbacks: optional
end_face_angle: float, optional
start_face_angle: float, optional
points: optional

points of this shape

Other Parameters:
size_info: SizeInfo, locked

get the size information on this Shape

closed: locked

Examples

import ipkiss3.all as i3

# If the shape intersects itself by growing/being offsetted, the loop that is formed is removed, in contrast
# to i3.ShapeGrow, where the resulting loop is not removed. As can be seen in the following example.

shape = i3.Shape([(5.0, 5.0), (5.0, 15.0), (10.0, 15.0), (10.0, 10.0), (12.0, 10.0),
                  (12.0, 15.0), (17.0, 15.0), (17.0, 5.0)], closed=True)
offset_shape = i3.ShapeOffset(original_shape=shape, offset=1.5)
grown_shape = i3.ShapeGrow(original_shape=shape, amount=1.5)

import matplotlib.pyplot as plt
plt.figure()
plt.plot(shape.x_coords(), shape.y_coords(), 'bo-', label='original_shape', markersize=2, linewidth=2)
plt.plot(offset_shape.x_coords(), offset_shape.y_coords(), 'ro--',
         label='offset shape', markersize=2, linewidth=6)
plt.plot(grown_shape.x_coords(), grown_shape.y_coords(), 'go--',
         label='grown shape', markersize=1, linewidth=2)
plt.arrow(10, 13, 1.2, 0, width = 0.05)
plt.arrow(12, 12, -1.2, 0, width = 0.05)
plt.legend()
plt.show()
../../../../_images/shape_modifiers-9.png

ShapeVariableOffset

class ipkiss3.all.ShapeVariableOffset

Generates a shape with a variable offset from its original shape.

Parameters:
offsets: list<int, float, integer, floating>, required
original_shape: Shape, required
remove_loopbacks: optional
end_face_angle: float, optional
start_face_angle: float, optional
points: optional

points of this shape

Other Parameters:
size_info: SizeInfo, locked

get the size information on this Shape

closed: locked

Examples

import ipkiss3.all as i3
import numpy as np

shape = i3.Shape([(5.0, 5.0), (10.0, 10.0), (15.0, 5.0), (20.0, 10.0), (25.0, 5.0)])
offset_shape = i3.ShapeVariableOffset(original_shape=shape,
                                      offsets=[-1.0, 2.0, 3.0, -1.0, 0.0])
import matplotlib.pyplot as plt

plt.figure()
plt.plot(shape.x_coords(), shape.y_coords(), 'bo-',
         label='original_shape', markersize=2, linewidth=2)
plt.plot(offset_shape.x_coords(), offset_shape.y_coords(), 'ro--',
         label='offset shape', markersize=2, linewidth=6)
plt.legend()
plt.show()
../../../../_images/shape_modifiers-10.png

ShapeExtendEnds

class ipkiss3.all.ShapeExtendEnds

Extend a shape at both ends by a given extension length.

Parameters:
end_extension: float, required
start_extension: float, required
original_shape: Shape, required
end_face_angle: ( float ), optional, *None allowed*

Use this to overrule the ‘dangling’ angle at the end of an open shape

start_face_angle: ( float ), optional, *None allowed*

Use this to overrule the ‘dangling’ angle at the start of an open shape

points: optional

points of this shape

Other Parameters:
size_info: SizeInfo, locked

get the size information on this Shape

closed: locked

Examples

import ipkiss3.all as i3
import numpy as np

shape = i3.Shape([(5.0, 5.0), (10.0, 10.0), (15.0, 5.0), (20.0, 10.0), (25.0, 5.0)])
extended_shape = i3.ShapeExtendEnds(original_shape=shape,
                                    start_extension=1.0,
                                    end_extension=3.0)
import matplotlib.pyplot as plt

plt.figure()
plt.plot(shape.x_coords(), shape.y_coords(), 'bo-',
         label='original_shape', markersize=2, linewidth=6)
plt.plot(extended_shape.x_coords(), extended_shape.y_coords(), 'ro--',
         label='extended shape', markersize=2, linewidth=3)
plt.legend()
plt.show()
../../../../_images/shape_modifiers-11.png

ShapeFit

class ipkiss3.all.ShapeFit

Fits a shape in a given box.

Parameters:
north_east: Coord2, required
south_west: Coord2, required
original_shape: Shape, required
end_face_angle: ( float ), optional, *None allowed*

Use this to overrule the ‘dangling’ angle at the end of an open shape

start_face_angle: ( float ), optional, *None allowed*

Use this to overrule the ‘dangling’ angle at the start of an open shape

points: optional

points of this shape

Other Parameters:
size_info: SizeInfo, locked

get the size information on this Shape

closed: locked

ShapeRoundAdiabaticSpline

class ipkiss3.all.ShapeRoundAdiabaticSpline

Returns a shape with adiabatic spline corners

Parameters:
radius: float and int, float, integer, floating and number >= 0, required
original_shape: Shape, required
adiabatic_angles: tuple2, optional
angle_step: float, optional
end_face_angle: ( float ), optional, *None allowed*

Use this to overrule the ‘dangling’ angle at the end of an open shape

start_face_angle: ( float ), optional, *None allowed*

Use this to overrule the ‘dangling’ angle at the start of an open shape

points: optional

points of this shape

Other Parameters:
adiabatic_angles_list: locked
radii: locked
size_info: SizeInfo, locked

get the size information on this Shape

closed: locked

Notes

Do not use this as a rounding algorithm in routing functions or connectors. Use SplineRoundingAlgorithm instead.

Examples

import ipkiss3.all as i3
shape = i3.Shape([(10.0, 10.0), (30.0, 10.0), (60.0, 35.0), (10.0, 40.0)])
rounded_shape = i3.ShapeRoundAdiabaticSpline(original_shape=shape,
                                             radius=3.0,
                                             adiabatic_angles=(10.0, 10.0))
rounded_shape2 = i3.ShapeRoundAdiabaticSpline(original_shape=shape,
                                             radius=3.0,
                                             adiabatic_angles=(40.0, 40.0))
import matplotlib.pyplot as plt

plt.figure()
plt.plot(shape.x_coords(), shape.y_coords(), 'bo-.', label='original_shape')
plt.plot(rounded_shape.x_coords(), rounded_shape.y_coords(), 'r-', label='rounded shape (10 degrees)')
plt.plot(rounded_shape2.x_coords(), rounded_shape2.y_coords(), 'g-', label='rounded shape (40 degrees)')
plt.xlim([0, 70.0])
plt.ylim([0, 50.0])
plt.legend()
plt.show()
../../../../_images/shape_modifiers-12.png

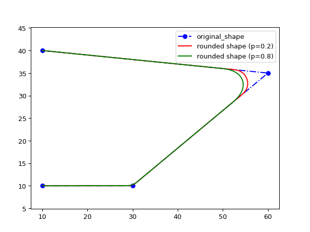
ShapeRoundEuler

class ipkiss3.all.ShapeRoundEuler

Returns a shape with euler rounded corners

Parameters:
radius: float and int, float, integer, floating and number >= 0, required
original_shape: Shape, required
use_effective_radius: optional

interpret radius as the effective radius of the bend instead of the minimum radius of curvature

p: float and fraction, optional

fraction of the bend having a linearly increasing curvature

angle_step: float, optional
end_face_angle: ( float ), optional, *None allowed*

Use this to overrule the ‘dangling’ angle at the end of an open shape

start_face_angle: ( float ), optional, *None allowed*

Use this to overrule the ‘dangling’ angle at the start of an open shape

points: optional

points of this shape

Other Parameters:
radii: locked
size_info: SizeInfo, locked

get the size information on this Shape

closed: locked

Notes

Do not use this as a rounding algorithm in routing functions or connectors. Use EulerRoundingAlgorithm instead.

Examples

import ipkiss3.all as i3
shape = i3.Shape([(10.0, 10.0), (30.0, 10.0), (60.0, 35.0), (10.0, 40.0)])
rounded_shape = i3.ShapeRoundEuler(original_shape=shape,
                                   radius=3.0,
                                   p=0.2)
rounded_shape2 = i3.ShapeRoundEuler(original_shape=shape,
                                    radius=3.0,
                                    p=0.8)
import matplotlib.pyplot as plt

plt.figure()
plt.plot(shape.x_coords(), shape.y_coords(), 'bo-.', label='original_shape')
plt.plot(rounded_shape.x_coords(), rounded_shape.y_coords(), 'r-', label='rounded shape (p=0.2)')
plt.plot(rounded_shape2.x_coords(), rounded_shape2.y_coords(), 'g-', label='rounded shape (p=0.8)')
plt.axis('equal')
plt.legend()
plt.show()
../../../../_images/shape_modifiers-13.png